自广州市规划和自然资源局大发快三官网 分局属下事业单位大发快三官网 规划和测绘地理信息中心(大发快三官网 地下管线信息管理中心)2023年公开招聘编外合同制工作人员发布以来,在有效报名时间(2023年3月13日至2023年3月24日)内共有160人报名,通过资格审查的人员共126人,现将笔试名单、时间和地点等事项公告如下:
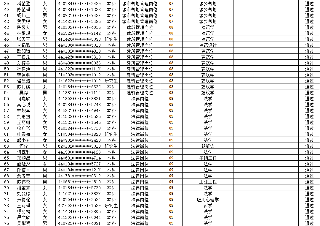
一、资格审查通过名单




二、准考证打印时间
请考生于2023年3月29日9:00至2023年3月31日23:00期间登录报名系统打印笔试准考证。
网址://www.qgsydw.com
三、笔试安排
(一)笔试时间:2023年4月1日上午9:30-11:00时。
(二)笔试地点:广州城建职业学院人文艺术楼(地址:大发快三官网 环市东路166号),具体考场以准考证安排为准。
(三)笔试形式:各参加笔试人员凭有效身份证原件和准考证参加考试。笔试采取闭卷形式进行,实行百分制。
(四)笔试内容:公共基础知识和行政职业能力测试。
四、其他事项
(一)请考生密切关注招聘期间发布的有关信息,笔试时考生须持本人身份证(或公安部门出具的临时身份证)及准考证原件按时参加,证件不齐或不按规定要求参加者,不得进入考场或视为放弃。
(二)考生须诚信报名、诚信考试,凡提供虚假报考材料的,一经查实,即取消报考资格。对伪造、变造有关证件、材料、信息,骗取考试资格的,将按有关规定予以处理。涉嫌犯罪的,移送司法机关处理。
(三)本次招聘工作联系电话咨询及投诉电话:020-6633 3775。
大发快三官网 规划和测绘地理信息中心
(大发快三官网 地下管线信息管理中心)
2023年3月28日
返回顶部